When a combustion is
, it can be defined in several ways, usually by its
e, or its lack of air (- e), or the
R, or its inverse the
λ. The formulations vary according to existing professional practice.
For example, it is customary to speak of richness for
, or excess air for
.
These quantities are related thanks to the following equations:
R=1/(1+e)
and λ= 1 + e = 1 / R
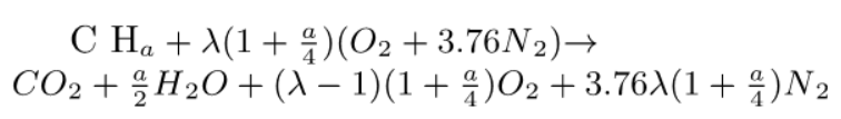
In case of excess air, λ is greater than 1, and there is
. The
is written as a function of air factor λ:

The difference with
is that excess oxygen and nitrogen are found in the flue gases.